由于在諧振變換器中, 諧振頻率與開關頻率接近而導致其不滿足線性紋波條件, 使得 適 用于PwM硬開關變換器的建模方法對其也不再適用. 目前針QRCs的建模問題已成為國際上的研究熱點。本文鼎升電力將介紹利用利用一種基于電路拓撲的簡化分析技術,零電流開關的工作特性,將非線性動態模型快速準串聯諧振變換器電路。
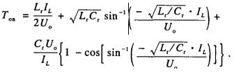
電路圖1中節點 A 、K 之 間的支路為理 想的零 電 流開關 ZCS , 其工作模態分為兩部分 : 若 zCS導通 , 則支路AK有電 流流過 , 由于QRCs工作在 高頻 情況 下 的一個 開關 周 期 相對 于 變換 器濾 波電路 的動 態 過程 非 常 小 , 在一個開 關周期內該電流為恒值 ; 若ZCs關斷 , 則支路AK電流為零 , 支路 承受開 路 電壓 . 據 此QRCs電路 的工作模態可由4個 簡化 為 2 個 , 即在開關 模 態 2 、3 , ZCS恒 為接通 電 流值 I : ; 在 開關模 態 4 , z C S 恒 為關 斷 電流 值零 ; 在 開關模 態 1 , 因 ZCS電流由零線性上升到人 , 故將其等效為有I L / 2 流過 Z C s , 且2 / 流過續流二極管, 因此ZCS的導通時間周期為 :

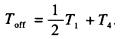
關斷時間周期為:

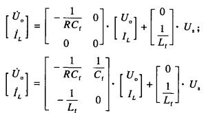
在導通時間及關斷時間周期內,對應 ZCS一 QRCs的狀態方程分別為:

將 式 中兩狀態進行平 均 , 得出ZCS 一 QRCs的非線性動態電路模型為

式 中

由上可知 , B o s t 式 Z C S 一 Q R C s 的動態 電路模型是 用非線性狀態微分方程來描述的 , 在電路參數一定 的情況下 , 狀態變量U 。與 I : 都是開關頻率 f s 的函數.該模型易于應用MATLAB軟件工具箱進行仿真,得到大信號瞬態響應曲線,且易于閉環控制系統的設計
2239963269
2221811696 與我們聯系!產品中心:/index/product/products_list.html售后、保修、維修服務中心:/index/index/shfw.html
如果您對本文" 準諧振變換器電路 "有更多的問題咨詢?
請留言給我們。立即留言,鼎升電力公司致立研發制造標準、穩定、安全的電力試驗設備。